Scientific Method Worksheet Answers Pdf

Scientific Processes Worksheet Answers Coloring Worksheets

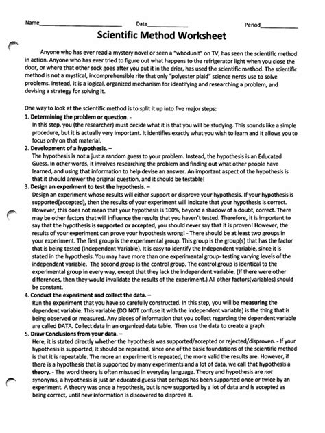
Scientific Method Worksheet Answers Pdf. Web whenever you have a question about science, nature, or even the universe, you can always follow these six steps to find.

Scientific Processes Worksheet Answers Coloring Worksheets
Scientific Processes Worksheet Answers Coloring Worksheets

Web whenever you have a question about science, nature, or even the universe, you can always follow these six steps to find.

Web whenever you have a question about science, nature, or even the universe, you can always follow these six steps to find. Web whenever you have a question about science, nature, or even the universe, you can always follow these six steps to find.