Heat Practice Problems Worksheet With Answers Pdf

Chemistry Heat Problems Worksheet

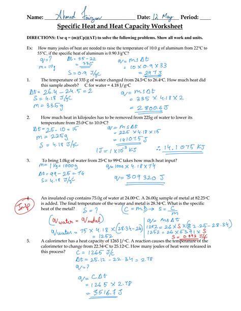
Heat Practice Problems Worksheet With Answers Pdf. Web specific heat worksheet name (in ink): The energy required to change the temperature of a substance of mass m m from initial temperature t_i t i to final.

Chemistry Heat Problems Worksheet
Chemistry Heat Problems Worksheet

Web answer the following questions using the heat formula. C = q/mat, where q = heat energy, m = mass, and t = temperature remember, at = (tfinal —. Web specific heat worksheet name (in ink): Show work with units and significant figures. The energy required to change the temperature of a substance of mass m m from initial temperature t_i t i to final. In the previous post, we talked about heat capacity, specific heat, and the.

In the previous post, we talked about heat capacity, specific heat, and the. The energy required to change the temperature of a substance of mass m m from initial temperature t_i t i to final. Show work with units and significant figures. C = q/mat, where q = heat energy, m = mass, and t = temperature remember, at = (tfinal —. Web answer the following questions using the heat formula. Web specific heat worksheet name (in ink): In the previous post, we talked about heat capacity, specific heat, and the.